欢迎光临武威职业学院 学生工作部! 今天是:
返回学院首页
加入收藏
设为首页
学生工作部
部门首页
新闻公告
最新通知
学生管理
奖励资助
心理健康
资源下载
国防武装
武职榜样
学生工作部
新闻公告
最新通知
学生管理
奖励资助
心理健康
资源下载
国防武装
武职榜样
热点文章
12-15
武威职业技术大学关于向赵静茹35名学生发放临时…
12-15
武威职业技术大学关于冯嘉俊等21名学生2025-202…
01-07
2019--2020级学生工作先进个人、集体评选结果公示
05-12
关于举办第九届“5.25”大学生心理健康教育宣传…
09-26
武威职业技术大学召开2025年秋季学期迎新工作协…
您现在的位置:
首页
>
学生工作部
>
新闻公告
>
正文
新闻公告
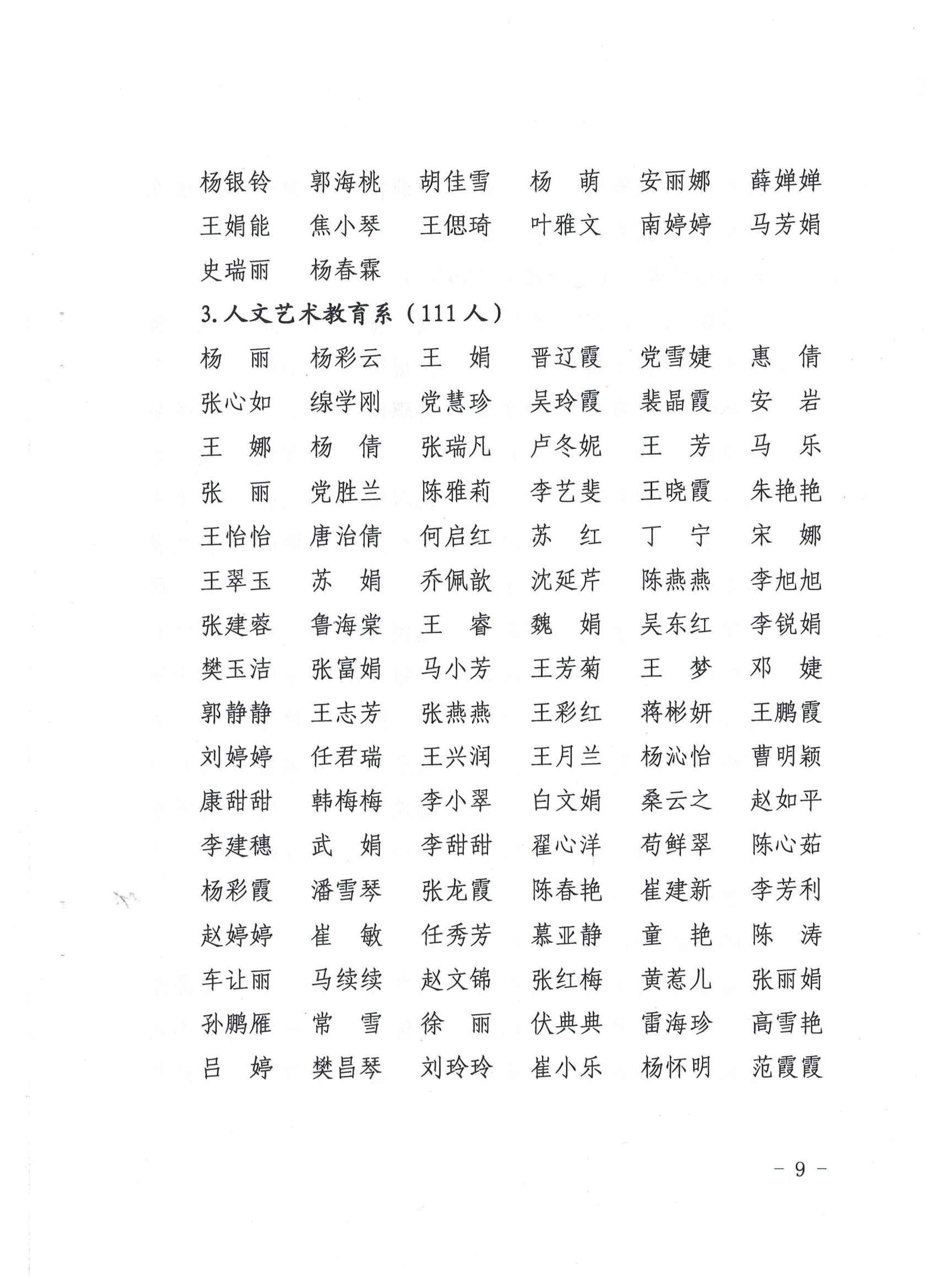
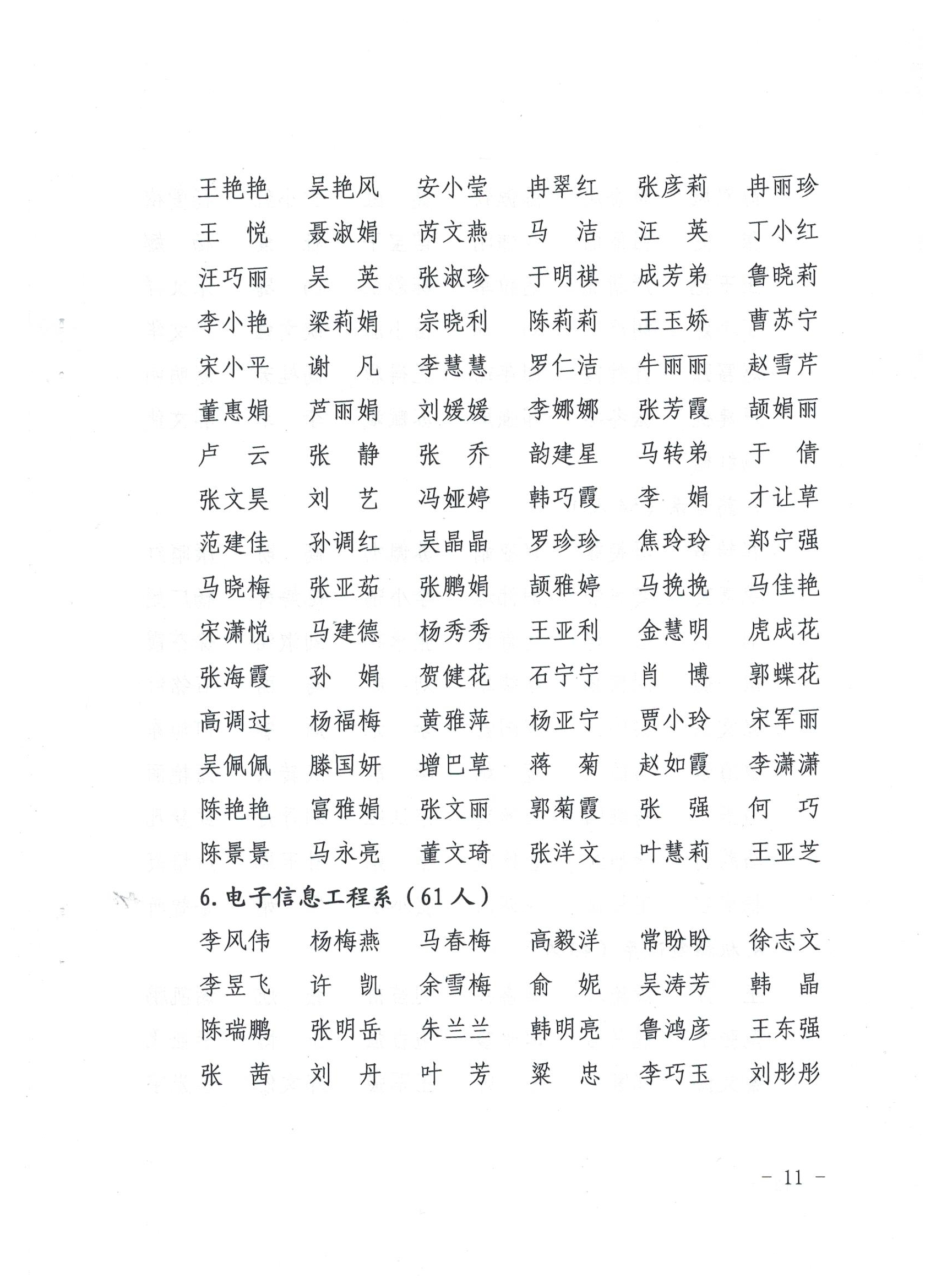
关于表彰2018-2019学年度学生先进集体和优秀个人的决定
作者:王金伟
来源:学生工作处
发布时间:2019年12月20日
点击数:1,593
次
字号:【
小
中
大
】
[打印文章]
[添加收藏]
上一篇:
关于表彰2018-2019学年度学生工作先进个人的决定
[ 12-19 ]
下一篇:
甘肃省高校“三好学生”拟定人员的公示
[ 12-23 ]